[Skip to content] [Skip to main navigation] [Skip to secondary content] [Skip to quick links] [Go to accessibility information]

to go home page Museum logo
Menu
  • Home
  • de László
  • Catalogue
  • Archive
  • Exhibitions
  • Support us
  • About us
  • Global search
  • Introduction to the Archive
  • The Archive
  • de László Films
  • Film Archive
  • The British Library: National Life Stories
  • Previous
  • See list
  • Next
019-0285 de Laszlo Archive © de Laszlo Foundation

019-0285

01/12/1932

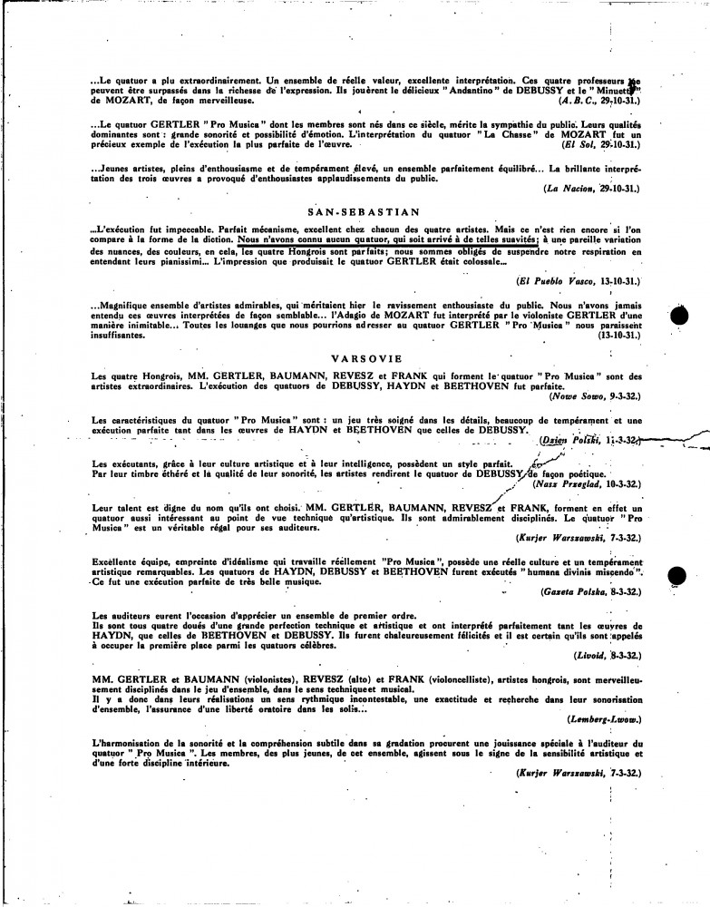
The Gertler String Quartet asks de László if they could perform at one of his musical evenings, or whether he could give them introductions to his friends/acquaintances. They enclose a summary in French of their performance reviews.

Accession number
019-0285
Type
Letter, Program
Sender
Baumann, Gyula
Recipient
László, Philip Alexius de (1869 - 1937)
Location
Public Collection, National Portrait Gallery, London

All pages

Letter from Gyula Baumann (Gertler String Quartet) to de László, Supplementary Arranged by Years Only 1930-1932, 019-0285 Letter from Gyula Baumann (Gertler String Quartet) to de László, Supplementary Arranged by Years Only 1930-1932, 019-0285 Letter from Gyula Baumann (Gertler String Quartet) to de László, Supplementary Arranged by Years Only 1930-1932, 019-0285
See all
  • 019-0285

    Letter from Gyula Baumann (Gertler String Quartet) to de László, Supplementary Arranged by Years Only 1930-1932, 019-0285
  • 019-0285

    Letter from Gyula Baumann (Gertler String Quartet) to de László, Supplementary Arranged by Years Only 1930-1932, 019-0285
  • 019-0285

    Letter from Gyula Baumann (Gertler String Quartet) to de László, Supplementary Arranged by Years Only 1930-1932, 019-0285
  • 019-0285

    Letter from Gyula Baumann (Gertler String Quartet) to de László, Supplementary Arranged by Years Only 1930-1932, 019-0285
  • 019-0285

    Letter from Gyula Baumann (Gertler String Quartet) to de László, Supplementary Arranged by Years Only 1930-1932, 019-0285
  • 019-0285

    Letter from Gyula Baumann (Gertler String Quartet) to de László, Supplementary Arranged by Years Only 1930-1932, 019-0285
View as PDF
  • 019-0285-3 326 KB .pdf

Related archive

Letter from de László to Gyula Baumann (Gertler String Quartet), Supplementary Arranged by Years Only 1930-1932, 019-0284

The de Laszlo Archive Trust

5 Albany Courtyard, Piccadilly
London, W1J OHF

© 2016-2026. All rights reserved.

Languages
  • Welcome
  • Üdvözöljük
  • Bienvenue
  • Willkommen
  • Bienvenidos
  • Benvenuti
  • Dobrodošli
Links
  • Contact Us
  • Terms & Conditions
  • Accessibility
  • Web Credits
  • Cookies
  • Privacy Policy